Diversity patterns in terrestrial tetrapod clades are governed by equilibrium dynamics
S1 Appendix. Supplementary figures and tables.A Fig. Species richness patterns for (a) amphibians (n = 5,235 species), (b) reptiles (n = 9,129...
S1 Appendix. Supplementary figures and tables.A Fig. Species richness patterns for (a) amphibians (n = 5,235 species), (b) reptiles (n = 9,129...
AbstractMosquito-borne arboviruses pose a growing public health concern in Canada, particularly in the context of climate change and increased...
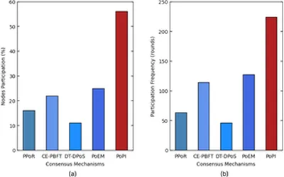
Citation: Dihan MK, Abdullah, Amina, Hussain F, Moniruzzaman M, Hossen MS (2026) PoPI: A machine learning-based consensus mechanism for...
Citation: Schut SM, Cupler ZA, Coleman BC (2026) A survey of student loan burden among United States Chiropractors: Insights on debt, relief, and...
Abstract Background Effective coverage (EC) has emerged as a better measure of service coverage, in the past decades, compared to the simple crude...
Abstract Background Pregnancy and childbirth increase the risk of pelvic floor muscle damage, leading to conditions such as urinary incontinence,...
AbstractThis study investigates the provenance of volcanic aggregates used in Roman lime-based mortars from the theatre–bath complex at Via Scavi in...
2.1. The role of AIDA in this study Visually driven cultural experiences such as CCDs circulated online often elicit a more specific form of...
The PLOS One Editors retract this article [1,2] due to concerns about compliance with the PLOS Human Subjects Research policy. The Materials and...
The PLOS One Editors retract this article [1,2] because it was identified as one of a series of submissions for which we have concerns about...
The PLOS One Editors retract this article [1] due to concerns about: Non-compliance with PLOS policies on Authorship. High similarity with a study...
Citation: Liu L, He Y, Cohen D, Chen X, Shi J, Song Y (2026) Unveiling bast fiber production in Upper Paleolithic North China: Microfibers and...
Citation: Hasan MN, Islam MR, Shahrier R, Hossen MB (2026) Genome-wide bioinformatics analysis of the MATE gene family for abiotic stress tolerance...
AbstractPeople who inject drugs (PWID) are at a heightened risk of contracting and transmitting HIV due to shared needles and unsafe sexual...
AbstractThe U.S. Food and Drug Administration (FDA) approved intravenous edaravone for the treatment of amyotrophic lateral sclerosis (ALS) in 2017,...
Abstract Background Zika virus (ZIKV) infection has been inconsistently associated with neurodevelopmental delay (ND). We aimed to compare the...
After this article [1] was published, concerns were noted about the following: Compliance with the PLOS Authorship policy; The article cited as...
Citation: Won MH, Shin S-H (2026) Development and validation of the sedentary behavior regulation scale in Korean Adults Population. PLoS One 21(4):...
AbstractFinancial incentive programs, commonly administered by public institutions, have long supported sustainable land management practices in the...
Following the publication of this article [1], concerns were raised about the results presented in Fig 1, and the article’s compliance with PLOS’...
Following the publication of this article [1], concerns were raised about the results presented in Figs 1 and 2. Specifically, The following panels...
There is an error in the caption within Fig 6. Please see the correct Fig 6 here. Fig 6. Experimental BTCs of Toxoplasma gondii oocysts in...
AbstractWith the rapid development of information and communication technologies, modern fire rescue models are evolving towards informatization,...
Abstract Background Male partners’ adequate understanding and engagement in maternity care plays a crucial role in enhancing women’s reproductive...
AbstractNasopharyngeal carcinoma is prevalent in Thailand, with a substantial proportion of cases diagnosed at advanced stages. The standard...
The PLOS One Editors retract this article [1,2] due to concerns about compliance with the PLOS Human Subjects Research policy. Specifically, the...
AbstractThis study aimed to explore the effects of velocity-based resistance training (VBT) using different velocity loss (VL) thresholds on jump...
Abstract Introduction Gilbert Syndrome (GS) is a common hereditary disorder characterized by intermittent jaundice. The pathogenesis is unconjugated...
This article [1,2] was identified as one of a series of submissions for which we have concerns about authorship and adherence to the journal’s first...
Notice of RepublicationThis article was republished on March 24, 2026, to correct an error in the title: the title of [1] was erroneously duplicated...
The PLOS One Editors retract this article [1] due to concerns about: Potential manipulation of the publication process. Peer review reliability....
AbstractRanking—a ubiquitous relational structure—enables humans to organize complex information and overcome cognitive load, yet in real-world...
Citation: Qian X, Yue WL, Ng KK, Leong RLF, Ji F, Venketasubramanian N, et al. (2026) Altered salience network structure–function integration...
Read news your way with the Bubble News app!